CONTENTS:
ABSTRACT
NOMENCLATURE
INTRODUCTION
PHYSICS AND NUMERICAL MODEL
4.1 GEOMETRY – NACA 0012 AIRFOIL
4.2 MESH GENERATION
4.3 FLUID PROPERTIES
4.4 FLOW CONDITIONS
SOLVER SETUP & NUMERICAL FORMULATION
5.1 GOVERNING EQUATIONS
5.2 BOUNDARY CONDITIONS
5.3 NUMERICAL SCHEMES & SOLUTION PROCEDURE
VERIFICATION
6.1 CONVERGENCE VERIFICATION
6.2 NEAR-WALL RESOLUTION VERIFICATION
6.3 u+
vs y+
CURVE
6.4 GRID INDEPENDENCY TEST
VALIDATION
7.1 EXPERIMENTAL REFERENCE
7.2 QUANTITATIVE COMPARISON
7.3 TREND VALIDATION
RESULTS AND OBSERVATION
CONCLUSION
REFERENCES
- ABSTRACT
A two-dimensional numerical validation study of subsonic flow over a NACA 0012 airfoil [2] is
presented using the open-source CFD solver OpenFOAM. Steady-state Reynolds-Averaged Navier–Stokes
(RANS) simulations at Reynolds number of 4 x 106
and Mach number of 0.15 were carried out using the
SIMPLE algorithm with the k–ω SST-based turbulence model at angles of attack (α) of 3.93° and 5.99°.
Simulations at all angles of attack were performed using fixed-value boundary conditions. The 2D
computational mesh was designed with a near-wall resolution optimum for the chosen turbulence model which
has around yPlus (y⁺) ≲ 5 over the airfoil surface.
Aerodynamic lift and drag coefficients obtained after convergence were validated against lowturbulence wind tunnel experimental data reported by Ladson et al. [3] at NASA Langley Research Centre.
The numerical predictions show good agreement with experimental measurements. Near-wall behaviour was
further assessed through u⁺–y⁺ distributions, with deviations discussed in relation to convergence behaviour
and turbulence modelling limitations. Overall, the results demonstrate that a carefully resolved k–ω SST-based
RANS [1] approach in OpenFOAM can provide reliable aerodynamic predictions in pre-stall conditions for
the NACA 0012 airfoil under subsonic flow conditions.
- NOMENCLATURE
Symbols and Abbreviations
Airfoil Chord – c
Reynolds number – Re
Velocity – U
Freestream Pressure – p
Drag coefficient – Cd
Lift coefficient – Cl
Pressure coefficient – Cp
Angle of attack – α
yPlus – y+
Turbulent kinetic energy – k
Specific dissipation rate –
Eddy viscosity – t
SST – Shear Stress Transport
RANS – Reynolds-Averaged Navier-Stokes
SIMPLE – Semi Implicit Method for Pressure Linked Equation
- INTRODUCTION
Airfoil aerodynamics is a fundamental topic in aerospace engineering, as it directly influences the lift,
drag, and overall performance of aircraft wings and aerodynamic surfaces. Among various airfoil profiles, the
NACA 0012 airfoil is widely used as a benchmark geometry due to its symmetric shape and the availability
of high-quality experimental data.
Despite the extensive availability of experimental data for the NACA 0012 airfoil, consistent validation
of steady RANS predictions in OpenFOAM at high Reynolds numbers remains an active area of investigation.
In this study, a two-dimensional steady Reynolds-Averaged Navier–Stokes (RANS) simulation of flow
over a NACA 0012 airfoil is performed using the open-source CFD solver OpenFOAM at a Reynolds number
of 4 × 10⁶ and a Mach number of 0.15.
The k–ω SST turbulence model is employed due to its suitability for capturing near-wall behaviour
and adverse pressure gradient effects commonly experienced in external aerodynamic flows. Simulations are
conducted at angles of attack of 3.93° and 5.99°, representing pre-stall flow regimes.
The numerical results are validated against NASA wind tunnel experimental data through comparisons
of lift and drag coefficients and surface pressure distributions. The objective of this work is to establish a
reliable CFD validation framework and assess the accuracy of steady RANS modelling for subsonic airfoil
flows. - PHYSICS AND NUMERICAL MODEL
4.1 GEOMETRY – NACA 0012 AIRFOIL
The NACA 0012 (Figure 1) airfoil was selected for this study due to its widespread use as a benchmark
geometry in both experimental and numerical aerodynamics research. Its symmetric profile and welldocumented experimental database, particularly the low-speed wind tunnel measurements reported by Ladson
et al. at NASA Langley Research Centre, make it an ideal profile for validating CFD methodologies. The
absence of camber ensures that the aerodynamic characteristics are primarily governed by the angle of attack,
allowing for a clearer assessment of numerical accuracy and turbulence model performance.




4.4 FLOW CONDITIONS
For this two-dimensional simulation, the external flow is considered steady and turbulent. The flow is
treated as incompressible since the freestream Mach number is less than 0.3, with a reference freestream
pressure of 122,150.08 Pa (calculated) specified for pressure normalization at the far-field boundary.
- SOLVER SETUP & NUMERICAL FORMULATION
5.1 GOVERNING EQUATIONS
Turbulence effects are modelled using the k–ω SST based RANS turbulence model. The model solves
transport equations for the turbulent kinetic energy and the specific dissipation rate. The eddy viscosity is
computed from these variables during the solution process. The pressure–velocity coupling is handled using
the SIMPLE algorithm.

Boundary conditions suitable for two-dimensional external aerodynamic flow were applied throughout
the computational domain. A fixed-value velocity was assigned at the inlet to represent the freestream flow,
while an inletOutlet condition was used at the outlet to allow smooth outflow. The pressure field was assigned
a zero-gradient condition at the inlet and a fixed-value condition at the outlet to define the reference pressure.
Turbulence quantities (k and ω) were specified using fixed-value conditions at the inlet and zerogradient conditions at the outlet. The airfoil surface was treated as a no-slip wall, with appropriate wall
functions applied for k, ω, and turbulent viscosity to ensure accurate near-wall modelling. The front and back
boundaries were assigned empty conditions to enforce two-dimensionality.
5.3 NUMERICAL SCHEMES & SOLUTION PROCEDURE
Time Schemes – A steadyState formulation is adopted and time derivatives are discretized using a first-order
implicit scheme. This approach eliminates temporal (time-related) accuracy concerns and ensures numerical
stability while iteratively converging towards the steady solution.
Gradient Schemes – Spatial gradients are computed using a second-order accurate Gauss linear scheme. This
scheme provides a good balance between numerical accuracy and stability for structured and unstructured
meshes.
Divergence Schemes
- Velocity – The convective terms in the momentum equation are discretized using a bounded linear
upwind scheme. This higher-order upwind approach improves accuracy while preventing unphysical
oscillations, especially in regions with strong velocity gradients near the airfoil surface.
“div(phi,U) bounded Gauss linearUpwind grad(U)” - Turbulence transport equations – The convective fluxes of the turbulence quantities like turbulent
kinetic energy(k) and specific dissipation rate(ω) are discretized using bounded upwind schemes to
ensure numerical robustness and boundedness of turbulence variables.
“div(phi,k) bounded Gauss upwind
div(phi,omega) bounded Gauss upwind” - Viscous terms – The viscous diffusion term is discretized using a second-order Gauss linear scheme.
“div((nuEff*dev2(T(grad(U))))) Gauss linear”
Wall distance – The wall distance required for turbulence modelling is computed using the meshWave method,
which provides accurate distance evaluation independent of mesh topology.
Solvers and Convergence Control
- Pressure is solved using the GAMG (Geometric-Algebraic Multi-Grid) solver with DIC smoother
ensuring fast and robust convergence for pressure correction. - Velocity and turbulence variables (U, k, ω, νt) are solved using a smoothSolver with symGaussSeidel
smoother. - Absolute tolerances of 1×10⁻6
for pressure, and 1×10⁻7
for velocity and turbulence variables are
prescribed, with a relative tolerance of 0.01 for all equations.
SIMPLE Solution
The SIMPLE algorithm is used for pressure-velocity coupling in the steady-state simulations. Nonorthogonal correctors are applied (nNonOrthogonalCorrectors = 2) to ensure robustness for local mesh
curvature near the airfoil are captured well. Convergence is monitored using normalized residual control
criteria, and the solution is considered converged when the residuals of pressure fall below 1×10⁻⁶ and velocity
& turbulence variables fall below 5×10⁻⁶. Iterations are terminated only when all governing equations satisfy
the residual thresholds.
Relaxation factors
Relaxation factors are used to improve numerical stability and ensure smooth convergence. For the
lower angle of attack (3.93°), pressure was under-relaxed with a factor of 0.3, while velocity and turbulence
variables (, ) were relaxed with a factor of 0.5, following standard practice for steady incompressible RANS
simulations. At the higher angle of attack (5.99°), slightly higher relaxation factors were applied, 0.5 for
pressure and 0.6 for velocity and turbulence variables (, ) to maintain convergence.
- VERIFICATION
6.1 CONVERGENCE VERIFICATION
The simulation continued until steady-state convergence was achieved. Along with the residual
convergence, the stability of the values of integral aerodynamic coefficients was also monitored. Mean values
and standard deviations of these coefficients were computed over the final iterations to ensure statistical
steadiness.

Residual convergence measures how closely the numerical solution satisfies the governing equations
at each iteration. Lower residuals indicate a more accurate solution. At 3.93° α, the residuals dropped to
acceptable levels after ~25,000 iterations with tighter relaxation factors (0.3 for pressure, 0.5 for velocity, ,
and ), while at 5.99° α, convergence required ~30,000 iterations with slightly higher relaxation factors (0.5
for pressure, 0.6 for velocity, , and ). The stability of the lift (Cl) and drag (Cd) coefficients were also
monitored, and the simulations were stopped once their mean values stabilized and standard deviations became
very small, indicating steady aerodynamic forces. Overall, both angles of attack achieved a converged and
reliable solution.



6.1 CONVERGENCE VERIFICATION Contd.



6.2 NEAR-WALL RESOLUTION VERIFICATION
The near-wall mesh resolution was evaluated using the non-dimensional wall distance y⁺. At 3.93°
angle of attack, y⁺ values ranged from 0.054 to 3.723, with an average value of 1.503. At 5.99°, y⁺ ranged
from 0.100 to 4.568, with an average value of 1.524. These values confirm that the viscous sublayer is
adequately resolved over most of the airfoil surface.

6.3 u+ vs y+ CURVE


The u⁺–y⁺ profiles for both the angles of attack show good agreement with the viscous sublayer and a
reasonable transition towards the logarithmic region [4], indicating adequate near-wall resolution. Deviations
at higher y⁺ are attributed to adverse pressure gradients and turbulence modelling limitations. The u⁺–y⁺
distributions confirm that the near-wall mesh resolution is sufficient for the present steady RANS simulations.
6.4 GRID INDEPENDENCY TEST
A grid-independence study was conducted to assess the sensitivity of the aerodynamic coefficients to
mesh(grid) refinement. Two structured C-grid meshes, namely a baseline mesh and a refined mesh, were
generated for this test.
This test has been done for same flow conditions, same numerical setup for both the meshes at an angle
of attack of 5.99° (The highest angle of attack considered in the present study.).
The lift and drag coefficients obtained using both meshes are summarized in Table 7. The variation in
drag coefficient between the baseline and refined meshes was found to be 0.99%, while the variation in lift
coefficient was only 0.34%.
These differences are sufficiently small, indicating that further mesh refinement has a negligible effect
on the aerodynamic coefficients. Therefore, the solution can be considered grid independent. Based on this
observation, the baseline mesh was selected for all subsequent simulations to achieve an optimal balance
between computational efficiency and solution accuracy.


After this grid independence was confirmed at the highest angle of attack, the baseline mesh was
used for simulations at other angles of attack.
- VALIDATION
7.1 EXPERIMENTAL REFERENCE
The numerical results were validated against experimental data obtained from NASA wind tunnel tests
conducted by Ladson et al. [3] at NASA Langley Research Centre under low-turbulence flow conditions.
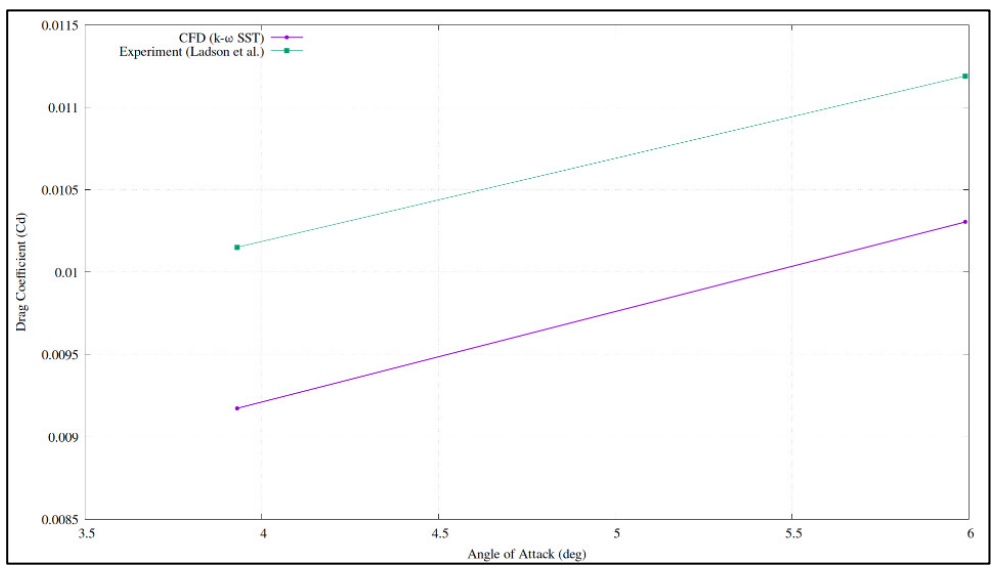
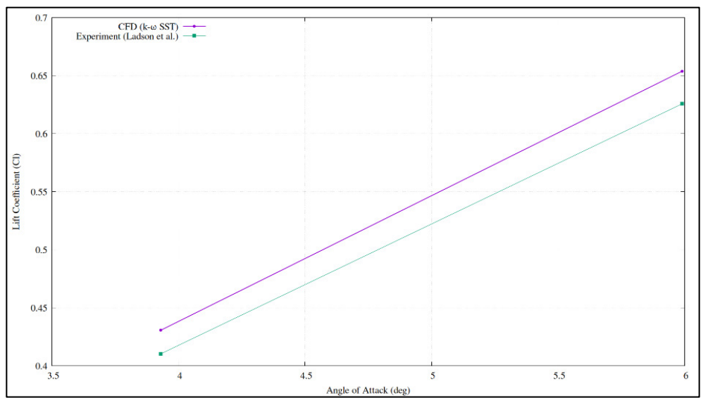
7.2 QUANTITATIVE COMPARISON
The computed lift and drag coefficients showed good agreement with experimental data across both
angles of attack. The deviation between numerical and experimental results remained below 10% for drag
coefficient and below 5% for lift coefficient, which is considered acceptable for RANS-based simulations of
airfoil flows.

7.3 TREND VALIDATION
In addition to quantitative agreement, the numerical simulations correctly captured the increasing lift
trend with angle of attack and the associated rise in drag due to flow separation, consistent with experimental
observations.


- RESULTS AND OBSERVATION
AT 3.93 DEGREES


At 3.93°, the flow accelerates smoothly over the upper surface and remains fully attached, as indicated
by wall shear stress which is slightly higher in the leading edge and undisturbed streamlines. The pressure
coefficient shows a moderate suction peak and smooth recovery, confirming stable flow behaviour at this
angle of attack.
- RESULTS AND OBSERVATION Contd.
AT 5.99 DEGREES


At 5.99° angle of attack, increased upper-surface acceleration produces a stronger leading-edge suction
peak. The drop in wall shear stress towards the trailing edge – which is higher wall shear stress on the leading
edge than 3.93°, together with slight streamline deviation near the trailing edge, indicates that the flow starts
to separate slightly. The pressure coefficient distribution shows a mild plateau on the upper surface, indicating
a slowing down of pressure recovery in this region. Overall, the flow remains predominantly attached.
- CONCLUSION
The aerodynamic characteristics of the NACA 0012 airfoil were numerically investigated at angles of
attack of 3.93° and 5.99° using a steady RANS approach. The calculated lift and drag coefficients were in
good agreement with the available experimental and numerical reference data. This shows that this CFD
methodology can accurately capture the airfoil’s aerodynamic behaviour in the attached and mildly separated
flow regimes.
Grid independence study has been done using a systematic mesh refinement study, confirming that the
predicted aerodynamic coefficients are insensitive to further mesh refinement. Also, the near-wall mesh
resolution was found to be sufficient for resolving boundary-layer effects which is good enough for the k–ω
SST turbulence model.
Overall, the validated CFD setup provides reliable and computationally efficient predictions of the
aerodynamic performance of the NACA 0012 airfoil and can serve as a reliable framework for future
parametric analyses, higher-angle-of-attack investigations, or airfoil design studies.
- REFERENCES
- Menter, F. R.
Two-Equation eddy-viscosity turbulence models for engineering applications.
AIAA Journal, Vol. 32, No. 8, pp. 1598–1605, 1994.
(k–ω SST model description)
Available at: https://turbmodels.larc.nasa.gov/sst.html - NASA Turbulence Modeling Resource
NACA 0012 Airfoil Validation Case.
NASA Langley Research Center.
Available at: https://turbmodels.larc.nasa.gov/naca0012_val.html - Ladson, C. L.
Effects of Independent Variation of Mach and Reynolds Numbers on the Low-Speed Aerodynamic
Characteristics of the NACA 0012 Airfoil Section.
NASA Technical Memorandum 4074, October 1988.
Available at: https://ntrs.nasa.gov/citations/19880019495 - NASA Turbulence Modeling Resource
NACA 0012 SST-Vm Validation Data (CFL3D Solver).
Numerical results for boundary-layer behavior using CFL3D.
Available at: https://turbmodels.larc.nasa.gov/flatplate_sa.html